近日,智能传感与无损检测团队在ACFM缺陷检出概率方面取得重要进展。研究成果《基于交流电场测量技术的多因素影响下裂纹双特征检测概率》(Bicharacteristic Probability of Detection of Crack under Multi-factor Influences using alternating current field measurement technique)发表于无损检测领域国际顶级期刊《NDT & E International》(年发文量180篇),最新影响因子达到4.1,中科院大类分区2区。
该研究第一作者为袁新安副教授,通讯作者为李伟教授,中国石油大学(华东)作为第一署名单位和通讯单位。研究工作得到了国家自然科学基金、山东省青年人才托举工程等项目的大力支持。

图 论文首页
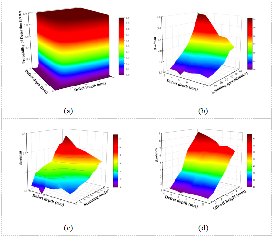
研究团队基于ACFM技术建立了一种双特征检测概率(BPOD)模型,用于量化裂纹检测可靠性。为了提高缺陷检测概率的准确性和客观性,在缺陷检测概率的评估中均集成了Bx和Bz信号,降低了单一信号特征的不确定性和随机性对POD的影响。研究了多种因素对裂纹POD的影响,并对各因素做出评价。针对ACFM缺陷检测结果易受多种因素影响以及漏检追踪困难的挑战,提出一种基于贝叶斯网络的方法,用于反向推理ACFM技术影响因素对缺陷检出概率的影响权重。结果表明,与传统模型相比,BPOD模型能够评估更小的缺陷。多重影响因素会显著降低裂纹的检出概率,各影响因素对检出概率的影响程度按从大到小顺序排列依次为:提离高度、检测速度、检测人员和检测角度。

图 传统缺陷检出概率模型和BPOD模型的对比

图 多重影响因素对检测概率的影响

图 贝叶斯推理网络
该研究成果可为结构缺陷交流电磁场检测的优化策略提供指导。对于深入理解结构缺陷交流电磁场检测的可靠性评估问题,优化检测策略,提高检测准确性以及促进工程结构的安全性具有重要的理论和实际意义。
论文链接:https://www.sciencedirect.com/science/article/abs/pii/S0963869524001385?via%3Dihub