近日,安全科学与工程学科博士研究生李彦伟在隔水管与新型悬挂系统防台风撤离策略的优化研究方面取得重要进展,相关研究成果《隔水管与新型悬挂系统防台风撤离策略的多阶段多目标优化》(Multi-stage and multi-objective optimization of anti-typhoon evacuation strategy for riser with new hang-off system)发表在《Petroleum Science》。《Petroleum Science》是一本涵盖石油科学和技术领域的国际著名学术期刊(国家领军期刊),目前影响因子为6.0(SCI一区)。论文第一作者为李彦伟博士,中国石油大学(华东)为第一署名单位和唯一通讯单位,该研究得到国家自然科学基金、国家重点研发计划、工信部高技术船舶科研项目等项目的联合资助。
|
论文首页 |
为提高隔水管在台风下悬挂作业期间的安全性,提出了一种新型悬挂系统。然而,尚未形成高效的防台风撤离策略。因此,需要研究隔水管抗台风悬挂撤离策略的优化模型与方法。基于作业时间、撤离速度稳定性与转向稳定性建立了多目标优化函数。针对设计变量和约束条件,提出了隔水管与新型悬挂系统的撤离路径模型和动力学模型,进而建立了一个包含高维变量和复杂约束的多目标优化模型。最后,发展了一种基于遗传算法、最小二乘法和罚函数法的三阶段优化方法,用于求解该多目标优化模型。
|
|
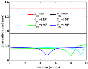
最优撤离航向 | 最优撤离速度 |
| |
作业时间 | |
优化结果表明,通过优化作业参数,特别是优化撤离航向,可以缩短作业时间。当航向角较大时,最优防台风策略是悬挂所有隔水管沿变路径撤离;航向角较小时,悬挂所有隔水管沿直线路径撤离。此外,防台风撤离策略的因素分析表明,所提出的优化模型和方法具有较强的适用性和显著的优化效果。
论文链接:https://doi.org/10.1016/j.petsci.2024.09.009




